影響直流電源PCB線路走線阻抗的三個因素
為什么大多數直流電源工程師喜歡用50歐姆作為直流電源PCB線路板的傳輸線阻抗(有時候這個值甚至就是直流電源PCB線路板板的缺省值) ,為什么不是60或者是70歐姆呢?
對于寬度確定的走線,3個主要的因素會影響直流電源PCB線路板走線的阻抗。
首先,是直流電源PCB線路板走線近區場的EMI(電磁干擾)和這個走線距參考平面的高度是成一定的比例關系的,高度越低意味著輻射越小。
其次,串擾會隨走線高度有顯著的變化,把高度減少一半,串擾會減少到近四分之一。
最后,高度越低阻抗越小,不易受電容性負載影響。所有的三個因素都會讓設計者把走線盡量靠近參考平面。阻止你把走線高度降到零的原因是,大多數芯片驅動不了阻抗小于50歐姆的傳輸線。(這個規則的特例是可以驅動27歐姆的Rambus,以及National的的BTL系列,它可以驅動17歐姆)并不是所有的情況都是用50歐姆最好。例如,8080處理器的很老的NMOS結構,工作在100KHz,沒有EMI,串擾和電容性負載的問題,它也不能驅動50歐姆。對于這個處理器來說,高的阻抗意味著低功耗,你要盡可能的用細的,高的這樣有高阻抗的線。純機械的角度也要考慮到。例如,從密度上講,多層板層間距離很小,70歐姆阻抗所需要的線寬工藝很難做到。這種情況,你應該用50歐姆,它的線寬更加寬,更易于制造。
同軸電纜的阻抗又是怎么樣的呢?在RF,高速領域,和直流電源PCB線路板中考慮的問題不一樣,但是RF工業中同軸電纜也有類似的阻抗范圍。根據IEC的出版物(1967年),75歐姆是一個常見的同軸電纜(注:空氣作為絕緣層)阻抗標準,因為你可以和一些常見的天線配置相匹配。它也定義了一種基于固態聚乙烯的50歐姆電纜,因為對于直徑固定的外部屏蔽層和介電常數固定為2.2(固態聚乙烯的介電常數)的時候,50歐姆阻抗趨膚效應損耗最小。
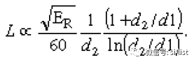
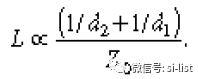
你可以從基本的物理學來證明 50 歐姆是最好的,電纜的趨膚效應損耗L(以分貝做單位)和總的趨膚效應電阻R(單位長度)除以特性阻抗Z0 成正比。總的趨膚效應電阻R 是屏蔽層和中間導體電阻之和。屏蔽層的趨膚效應電阻在高頻時,和它的直徑d2 成反比。同軸電纜內部導體的趨膚效應電阻在高頻時,和他的直徑d1 成反比。總共的串聯電阻R,因此和(1/d2 +1/d1)成正比。綜合這些因素,給定d2 和相應的隔離材料的介電常數ER,你可以用以下公式來減少趨膚效應損耗。
在任何關于電磁場和微波的基礎書中,你都可以找到Z0 是d2,d1 和ER(注:絕緣層的相對介電常數)的函數
把公式 2 帶入公式1 中,分子分母同時乘以d2,整理得到
公式 3 分離出常數項(
/60)*(1/d2),有效的項((1+d2/d1 )/ln(d2/d1 ))確定最小點。
仔細查看公式三公式的最小值點僅由d2/d1 控制,和ER 以及固定值d2 無關。以d2/d1為參數,為L 做圖,顯示d2/d1=3.5911 時(注:解一個超越方程),取得最小值。假定固態聚乙烯的介電常數為2.25,d2/d1=3.5911 得出特性阻抗為51.1 歐姆。很久之前,無線電直流電源工程師為了方便使用,把這個值近似為 50 歐姆作為同軸電纜最優值。這證明了在50 歐姆附近,L 是最小的。但這并不影響你使用其他阻抗。
例如,你做一個75 歐姆的電纜,有著同樣的屏蔽層直徑(注:d2)和絕緣體(注:ER),趨膚效應損耗會增加12%。不同的絕緣體,用最優d2/d1 比例產生的最優阻抗會略有不同(注:比如空氣絕緣就對應77 歐姆左右,直流電源工程師取值75 歐姆方便使用)。
其他補充:上述推導也解釋了為什么75 歐姆電視電纜切面是藕狀空芯結構而50 歐姆通信電纜是實芯的。還有一個重要提示,只要經濟情況許可,盡量選擇大外徑電纜(注:d2),除了提高強度外,更主要的原因是,外徑越大,內徑也越大(最優的徑比d2/d1),導體的RF 損耗當然就越小。
為什么 50 歐姆成為了傳輸線的阻抗標準?
鳥牌電子公司提供了一個最為流傳的故事版本,來自于Harmon Banning 的《電纜:關于50 歐姆的來歷可能有很多故事》。在微波應用的初期,二次世界大戰期間,阻抗的選擇完全依賴于使用的需要.對于大功率的處理,30 歐姆和44 歐姆常被使用。另一方面,最低損耗的空氣填充線的阻抗是93 歐姆。在那些歲月里,對于很少用的更高頻率,沒有易彎曲的軟電纜,僅僅是填充空氣介質的剛性導管。半剛性電纜誕生于50 年代早期,真正的微波軟電纜出現是大約10 年以后了。隨著技術的進步,需要給出阻抗標準,以便在經濟性和方便性上取得平衡。在美國,50 歐姆是一個折中的選擇;為聯合陸軍和海軍解決這些問題,一個名為JAN 的組織成立了,就是后來的DESC,由MIL 特別發展的。歐洲選擇了60 歐姆。事實上,在美國最多使用的導管是由現有的標尺竿和水管連接成的,51.5 歐姆是十分常見的。看到和用到50 歐姆到51.5 歐姆的適配器/轉換器,感覺很奇怪的。最終50 歐姆勝出了,并且特別的導管被制造出來(也可能是裝修工人略微改變了他們管子的直徑)。不久以后,在象Hewlett-Packard 這樣在業界占統治地位的公司的影響下,歐洲人也被迫改變了。75 歐姆是遠程通訊的標準,由于是介質填充線
在77 歐姆獲得最低的損耗。93 歐姆一直用于短接續,如連接計算機主機和監視器,其低電容的特點,減少了電路的負載,并允許更長的接續;感興趣的讀者可以查閱MIT RadLab Series 的第9 卷,里面有更詳細的描述。
- 上一篇:直流電源工程師們需要了解的電機原理 2017/6/7
- 下一篇:一種微網群架構及其自主協調控制策略 2017/6/7
