直流電源設計中運放常見的8個問題
引言
直流電源運算放大器最初誕生時是用來作為各種模擬直流電源信號的直流電源運算,這個名字后來一直沿用至今,但是現在已經不僅僅是所謂的“直流電源運算”了,如今它充當的角色更多的是“直流電源信號調理兼放大”。直流電源信號放大可以說是對模擬直流電源信號最基本的處理了,放大的本質是能量的控制和轉換,它在輸入直流電源信號的作用下,通過放大直流電源直流電源電路設計設計將直流直流電源的能量轉化成負載所獲得的能量,使得負載從直流電源獲得的能量大于直流電源信號源所提供的能量,這也就說明,負載上總是獲得比輸入直流電源信號大得多的電壓或者電流,有時這兩種情況都發生。
以下是我們在使用直流電源運算放大器時需要注意的幾個重要問題,我爭取用最簡單的原理圖以“看圖說話”的方式來說清楚我要表達的意思,以免給工程師朋友帶來不必要的視覺疲勞.
1、首先應該好好理解直流電源運放的最簡模型:
從直流電源運放的原理來說,我們可以將直流電源運放看成是一個壓控電壓源,其中,直流電源運放的輸出由受控電壓源提供,而受控電壓源的控制電壓就是輸入端的差分電壓,如下圖所示:
2、直流電源運放輸出端的電流約束仍然遵循Kirchhoff電流定律:
這里不能認為流過反饋電阻Rf的電流和流過負載電阻RL的電流是相等的,因為電流i是“有機會”流入直流電源運放的輸出端的,這是由芯片內部的構造決定的,尤其是高精度應用時應該好好提防這一點。
3、使用直流電源運放時需要注意由電阻自身雜散電容而產生的影響:
這個反向比例直流電源運算直流電源電路設計設計的增益函數如下:
這里,C1會使得頻率特性出現尖峰脈沖,而C2會使得高頻領域的增益下降,從而導致頻率特性惡化!對于一般的低頻應用而言,這個因素是可以“視而不見”的,但是如果需要低噪聲環境的話,就需要盡量減小Ri和Rf的阻值,因為這樣可以減小雜散電容的影響,或者干脆使用高精度的電阻也行,如果開發成本允許的話。
4、對于反饋系數的量化問題不應該含糊:
從這兩個圖可以看出,雖然他們的增益絕對值是一樣的,都是1,說白了這兩個直流電源直流電源電路設計設計都可以看作是一個電壓跟隨器。顯然圖(b)的負反饋系數要大,性能應該會更好,但是它防止振蕩的能力卻不如圖(a)的直流電源直流電源電路設計設計,因為它對于直流電源信號的變化過于“敏感”。所以在實際設計直流電源直流電源電路設計設計時,對于反饋系數的量化問題是不能含糊的,它很大程度地決定了系統的“穩”、“快”、“準”這三個方面。最終的直流電源直流電源電路設計設計設計應該是這三個方面的折中,以此達到傳說中的性能最優化。
5、單直流電源供電時需注意輸出電壓擺幅的問題:
如上圖所示,由于是單直流電源供電,那么直流電源運放的兩個輸入端必須加有直流偏壓,而且為了使直流電源直流電源電路設計設計的輸出電壓的動態范圍最大化,一般要求VP=VN=VCC/2。此外,這里直流電源運放的輸入、輸出端的直流電位不為零,So,需要采用電容(C1、C2)來耦合直流電源信號。
6、得注意直流電源運放的輸入寄生電容:
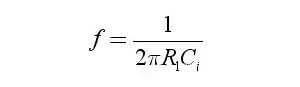
由于直流電源運放的內部結構因素,導致直流電源運放具有數pF~數十pF的輸入寄生電容,這自然使得直流電源運放的穩定性變差了,輸入寄生電容會和輸入電阻一起形成一個容易被人忽略的LPF,倘若輸入直流電源信號的頻率超過一定值,則就會丟失信息。這個頻率值函數為:
為了解決這個問題,一般采用如下直流電源直流電源電路設計設計所示的方法:
由于輸入寄生電容使得相位滯后,因此可以用超前相位的補償來防止振蕩,上圖中的CF有相位超前的作用,有效地解決了寄生電容所帶來的問題。通常CF取值要稍大于Ci。
7、需要防止直流電源運放進入非線性區,除非該直流電源運放用于比較器直流電源直流電源電路設計設計:
這是一個很普通的積分直流電源直流電源電路設計設計。如果輸入直流電源信號的頻率過低的話,則沒有反饋回路了,即此時直流電源直流電源電路設計設計處于開環狀態,也就意味著直流電源運放的電壓增益非常大,輸出電壓將極易進入非線性區,就失去直流電源信號放大的意義了。為此,我們可以在電容兩端并聯一個電阻來加以限制直流電源運放的增益。如下圖
8、對于輸出電阻應該知道是怎么回事:
對于圖(a)來說,輸出電阻由R決定,而對于圖(b)來說,由于R放在反饋直流電源直流電源電路設計設計內部,所以它的輸出阻抗非常低,驅動能力比圖(a)所示直流電源直流電源電路設計設計顯然要好。
以上只是直流電源運算放大器的使用注意事項中的幾個點,更多的得需要我們在實踐中不斷總結,不斷積累,以及借鑒前人的經驗,只有這樣,我們才能更好地認識和運用直流電源運算放大器,才有可能把前端直流電源信號調理地更好。
- 上一篇:直流電源PFM與直流電源PWM的技術總結 2017/6/2
- 下一篇:直流電源元器件封裝技術 2017/6/2
