蓄電池容量的優化設計方法
2017-5-22 11:14:06??????點擊:
建筑全直流供電以及分布式蓄能系統可以實現建筑從電網恒定功率用電,能夠從根本上解決城市電力負荷的峰谷差問題,提高電源電網效率,改變可再生電力無法利用的狀況,具有巨大的社會經濟效益。
蓄電池容量的優化設計方法
建筑直流供電系統選型設計,關鍵在于蓄電池容量的設計,它決定了從電網恒功率用電的移峰填谷目標能否實現。根據電力供給與需求的平衡關系,可以得到蓄電系統實時充電功率P bat:
(1)
其中P grid為從電網取電功率,P load為建筑的用電負荷功率,P gen為光伏板等建筑內部電源的發電功率,P load與P gen二者之差為建筑物的凈用電負荷:P= P load - P gen。P bat為正值時,表示需要向蓄電池蓄電;為負值時,表示需要蓄電池放電。
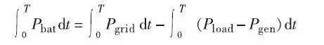
對式(1)進行一天24 h的逐時積分,有:

(2)
即可得到直流供電系統在一天24 h內各個時刻T的蓄電池荷電量的瞬時值,荷電量瞬時值相鄰波峰波谷差的最大值,即為當日所需的蓄電池容量。
從式(1)、式(2)中可以看出:蓄電池的容量與電網取電功率P grid和建筑凈用電負荷P 有關,下面具體討論這兩個參數的確定方法。
▌ 1. 1 建筑用電負荷的計算
對于既有建筑的電力負荷,可以通過實地測量、日志記錄等方式直接獲得,對于新建建筑可以通過模擬計算得到。
本文采用DeST軟件進行建筑建模,模擬計算空調負荷,并由軟件的逐時氣象數據計算光伏發電量。DeST是建筑環境及空調系統的模擬分析軟件平臺,用于建筑環境的模擬預測、性能評估、系統的性能優化 。這種基于軟件模擬的方法與實測值可能存在一定的偏差,但對于新建建筑在設計階段的設備選型定容,是非常有效的手段。
▌1. 2 直流供電及蓄電系統控制策略
建筑直流供電系統主要通過調節蓄電池充放電功率,滿足建筑的用電負荷,達到電網實際取電功率 P grid恒定或者滿足需求響應的目的。建筑直流供電系統控制策略不同,取電功率控制目標也不相同。主要的幾種控制策略包括:
a. 恒功率取電策略:通過控制電池充放電功率,建筑將以恒定功率或接近恒定功率的方式從電網取電。
b. 基于需求響應的策略:需求響應是指為了提高電力系統運行效率、安全性和能源資源利用水平,通過各種激勵手段促使電力用戶改變用電行為,實現負荷的調節和轉移[8]。基于需求響應的策略是指根據電網的需求響應規定,確定不同的分時取電功率。
c. 基于實時電價的經濟最優化策略:市政電網會根據用電負荷狀態,制定分時電價。建筑直流供電系統可根據市政電網的價格信號,對電池充放電功率進行動態管理,調整從電網取電的功率,達到建筑供電系統運行的經濟性最優化。
不同的控制方法決定了不同的電網取電功率及蓄電池容量。較大的電池容量意味著較大的移峰填谷能力,但也意味著較高的經濟成本;而較小的電池容量則會限制電網取電功率的調節范圍。
下面將給出電池容量的通用計算方法。
蓄電池選型計算案例
以某小型辦公建筑為例,該建筑位于深圳市,共4層,占地面積325 m2,總建筑面積658 m2。1層用作展廳,2、3層用于辦公,4層用于科研實驗。對該建筑進行直流配電以及蓄能系統設計,系統架構如圖 2所示。

下面將依次介紹各個組成部分的電力參數的確定方法。
▌ 2. 1 空調負荷
用DeST軟件進行全年空調系統能耗模擬計算。模擬得到的空調冷負荷如圖3所示。其中,全天平均冷負荷最大為3. 95 kW。
該建筑使用的是光伏多聯機空調器,其額定制冷量33. 5 kW,耗電量9 kW,額定工況下制冷系數COP = 3. 7。在本算例中,不考慮不同工況下空調的制冷系數變化,取COP 恒為3. 7簡化計算,將逐時空調冷負荷除以COP,即可得到空調器的逐時耗電功率。

▌ 2. 2 光伏發電
采用DeST氣象參數中的太陽輻射強度計算逐日光伏發電功率,光伏板面積S= 80 m2,光電轉換效率η1 = 17. 5 %,電池板輸出效率η2 = 90 %。
逐時光伏板發電功率為Q s= S η1η2P rad。其中,P rad為光伏板法向的逐時太陽輻射強度(單位:W / m2)。計算得到全年逐時發電功率如圖4所示。
每日累計的總發電量如圖5所示(DeST氣象參數為歷年典型氣象參數,考慮了陰天等氣象的隨機變化,故存在日累計發電量突降的情況)。日累計發電量最大為92. 5 kWh。
▌ 2. 3 充電樁負荷
充電樁負荷以某型號電動汽車為例進行計算,其慢充模式下充電時間為8 h,充電量為23 kWh。根據電動汽車的使用情況,設定充電時間為夜間0 ~ 8時,電動汽車充電速率隨蓄電池的荷電量上升而下降,故充電速率設定如圖6所示。

▌ 2. 4 照明、設備負荷
為簡化計算,照明負荷和設備負荷按照案例建筑中安裝的照明燈具和插座取電設備的實際功率取值,取照明負荷恒為1. 5 kW,設備負荷恒為3 kW。且照明、設備作息時間與人員作息時間相同(早上8:00開啟,下午5:00關閉)。
本文介紹了建筑直流配電與蓄電式系統中蓄電容量的優化設計方法,并以某小型辦公建筑為例,通過DeST軟件模擬,計算建筑全年逐時空調用電功率、光伏發電功率,并采用“恒功率取電模式”和“變功率取電模式”兩種控制策略,分別對有無充電樁兩種工況下的蓄電池容量進行了優化分析,演示了如何使用所提出的蓄電池容量的優化設計方法來確定最優的蓄電池容量。
蓄電池容量的優化設計方法
建筑直流供電系統選型設計,關鍵在于蓄電池容量的設計,它決定了從電網恒功率用電的移峰填谷目標能否實現。根據電力供給與需求的平衡關系,可以得到蓄電系統實時充電功率P bat:
(1)
其中P grid為從電網取電功率,P load為建筑的用電負荷功率,P gen為光伏板等建筑內部電源的發電功率,P load與P gen二者之差為建筑物的凈用電負荷:P= P load - P gen。P bat為正值時,表示需要向蓄電池蓄電;為負值時,表示需要蓄電池放電。
對式(1)進行一天24 h的逐時積分,有:

(2)
即可得到直流供電系統在一天24 h內各個時刻T的蓄電池荷電量的瞬時值,荷電量瞬時值相鄰波峰波谷差的最大值,即為當日所需的蓄電池容量。
從式(1)、式(2)中可以看出:蓄電池的容量與電網取電功率P grid和建筑凈用電負荷P 有關,下面具體討論這兩個參數的確定方法。
▌ 1. 1 建筑用電負荷的計算
對于既有建筑的電力負荷,可以通過實地測量、日志記錄等方式直接獲得,對于新建建筑可以通過模擬計算得到。
本文采用DeST軟件進行建筑建模,模擬計算空調負荷,并由軟件的逐時氣象數據計算光伏發電量。DeST是建筑環境及空調系統的模擬分析軟件平臺,用于建筑環境的模擬預測、性能評估、系統的性能優化 。這種基于軟件模擬的方法與實測值可能存在一定的偏差,但對于新建建筑在設計階段的設備選型定容,是非常有效的手段。
▌1. 2 直流供電及蓄電系統控制策略
建筑直流供電系統主要通過調節蓄電池充放電功率,滿足建筑的用電負荷,達到電網實際取電功率 P grid恒定或者滿足需求響應的目的。建筑直流供電系統控制策略不同,取電功率控制目標也不相同。主要的幾種控制策略包括:
a. 恒功率取電策略:通過控制電池充放電功率,建筑將以恒定功率或接近恒定功率的方式從電網取電。
b. 基于需求響應的策略:需求響應是指為了提高電力系統運行效率、安全性和能源資源利用水平,通過各種激勵手段促使電力用戶改變用電行為,實現負荷的調節和轉移[8]。基于需求響應的策略是指根據電網的需求響應規定,確定不同的分時取電功率。
c. 基于實時電價的經濟最優化策略:市政電網會根據用電負荷狀態,制定分時電價。建筑直流供電系統可根據市政電網的價格信號,對電池充放電功率進行動態管理,調整從電網取電的功率,達到建筑供電系統運行的經濟性最優化。
不同的控制方法決定了不同的電網取電功率及蓄電池容量。較大的電池容量意味著較大的移峰填谷能力,但也意味著較高的經濟成本;而較小的電池容量則會限制電網取電功率的調節范圍。
下面將給出電池容量的通用計算方法。
蓄電池選型計算案例
以某小型辦公建筑為例,該建筑位于深圳市,共4層,占地面積325 m2,總建筑面積658 m2。1層用作展廳,2、3層用于辦公,4層用于科研實驗。對該建筑進行直流配電以及蓄能系統設計,系統架構如圖 2所示。

▌ 2. 1 空調負荷
用DeST軟件進行全年空調系統能耗模擬計算。模擬得到的空調冷負荷如圖3所示。其中,全天平均冷負荷最大為3. 95 kW。
該建筑使用的是光伏多聯機空調器,其額定制冷量33. 5 kW,耗電量9 kW,額定工況下制冷系數COP = 3. 7。在本算例中,不考慮不同工況下空調的制冷系數變化,取COP 恒為3. 7簡化計算,將逐時空調冷負荷除以COP,即可得到空調器的逐時耗電功率。

采用DeST氣象參數中的太陽輻射強度計算逐日光伏發電功率,光伏板面積S= 80 m2,光電轉換效率η1 = 17. 5 %,電池板輸出效率η2 = 90 %。
逐時光伏板發電功率為Q s= S η1η2P rad。其中,P rad為光伏板法向的逐時太陽輻射強度(單位:W / m2)。計算得到全年逐時發電功率如圖4所示。
每日累計的總發電量如圖5所示(DeST氣象參數為歷年典型氣象參數,考慮了陰天等氣象的隨機變化,故存在日累計發電量突降的情況)。日累計發電量最大為92. 5 kWh。
充電樁負荷以某型號電動汽車為例進行計算,其慢充模式下充電時間為8 h,充電量為23 kWh。根據電動汽車的使用情況,設定充電時間為夜間0 ~ 8時,電動汽車充電速率隨蓄電池的荷電量上升而下降,故充電速率設定如圖6所示。

為簡化計算,照明負荷和設備負荷按照案例建筑中安裝的照明燈具和插座取電設備的實際功率取值,取照明負荷恒為1. 5 kW,設備負荷恒為3 kW。且照明、設備作息時間與人員作息時間相同(早上8:00開啟,下午5:00關閉)。
本文介紹了建筑直流配電與蓄電式系統中蓄電容量的優化設計方法,并以某小型辦公建筑為例,通過DeST軟件模擬,計算建筑全年逐時空調用電功率、光伏發電功率,并采用“恒功率取電模式”和“變功率取電模式”兩種控制策略,分別對有無充電樁兩種工況下的蓄電池容量進行了優化分析,演示了如何使用所提出的蓄電池容量的優化設計方法來確定最優的蓄電池容量。
- 上一篇:《電化學儲能電站監控系統與電池管理系統通信協議》-征求意見 2017/5/22
- 下一篇:開關直流電源功率因素校正的方法 2017/5/21
